格力中央空调CCE离心机系列
一、产品概述
1、产品定义
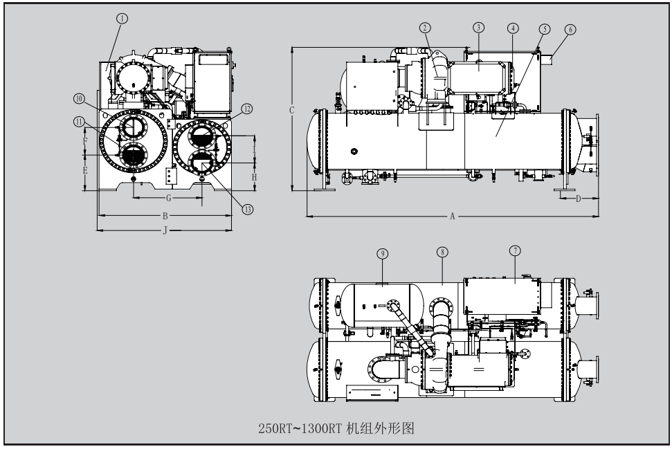
格力中央空调CCE系列磁悬浮变频离心机组为格力自主研发采用磁悬浮轴承技术的永磁同步变频离心式冷水机组,冷量范围100RT-1300RT。永磁同步电机、双级补气、电机直驱叶轮、四象限变频等多项技术的应用,提升了机组的节能性。同时,采用了磁悬浮轴承替代传统的机械轴承,实现了制冷系统无油运行,避免了复杂的润滑油系统,进一步提升性能。可靠的工业级微机控制系统,群控技术及楼宇通讯接口,保证了机组优良的操作性能。该机组可广泛用于酒店、会所、写字楼等场所的空调系统,特别适合用于大型冷水机组的改造项目。



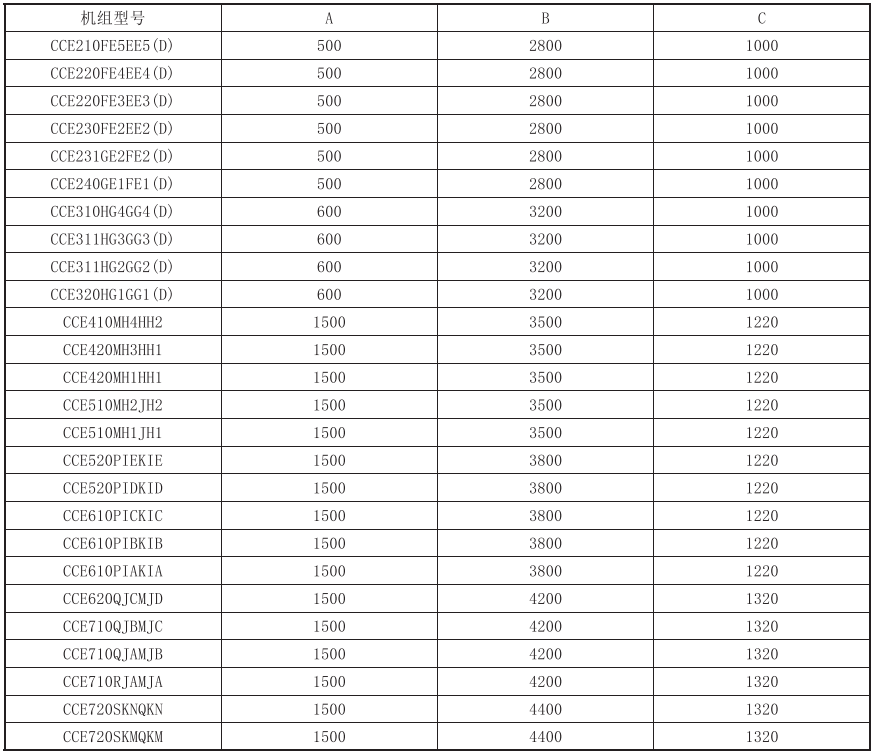
CCE210FE5EE5(D)
CCE220FE4EE4(D)
CCE220FE3EE3(D)
CCE230FE2EE2(D)
CCE231GE2FE2(D)
CCE240GE1FE1(D)
CCE310HG4GG4(D)
CCE311HG3GG3(D)
CCE311HG2GG2(D)
CCE320HG1GG1(D)
CCE410MH4HH2
CCE420MH3HH1
CCE420MH1HH1
CCE510MH2JH2
CCE510MH1JH1
CCE520PIEKIE
CCE520PIDKID
CCE61OPICKIC
CCE610PIBKIB
CCE61OPIAKIA
CCE620QJCMID
CCE710QJBMJC
CCE710QJAMJB
CCE710RJAMJA
CCE720SKNQKN
CCE720SKMQKM
CCE210FE5EE5(D)
CCE220FE4EE4(D)
CCE220FE3EE3(D)
CCE230FE2EE2(D)
CCE231GE2FE2(D)
CCE240GE1FE1(D)
CCE310HG4GG4(D)
CCE311HG3GG3(D)
CCE311HG2GG2(D)
CCE320HG1GG1(D)
CCE410MH4HH2
CCE420MH3HH1
CCE420MH1HH1







CCE210FE5EE5(D)
CCE220FE4EE4(D)
CCE220FE3EE3(D)
CCE230FE2EE2(D)
CCE231GE2FE2(D)
CCE240GE1FE1(D)
CCE310HG4GG4(D)
CCE311HG3GG3(D)
CCE311HG2GG2(D)
CCE320HG1GG1(D)
CCE410MH4HH2
CCE420MH3HH1
CCE420MH1HH1
CCE510MH2JH2
CCE510MH1JH1
CCE520PIEKIE
CCE520PIDKID
CCE610PICKIC
CCE610PIBKIB
CCE610PIAKIA
CCE620QJCMJD
CCE710QJBMJC
CCE710QJAMJB
CCE710RJAMJA
CCE720SKNQKN
CCE720SKMQKM





以上是武汉格力中央空调提供的格力离心机技术参数

咨询热线: